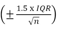
We suggest calling this the informal margin of error for the median.
Have you created a resource which is suitable for CensusAtSchool and you would like to share with other teachers?
Add your resource